Featured
How To Calculate Standard Deviation Of Returns
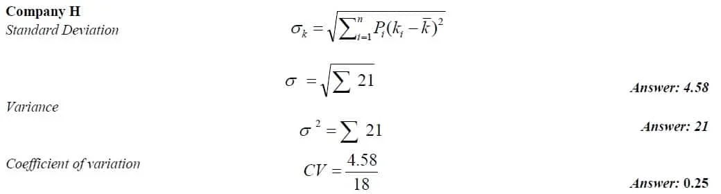
How To Calculate Standard Deviation Of Returns. The smaller an investment’s standard deviation, the less volatile it is. Standard deviation is a measure of the dispersion of a set of data from its mean.

Next, divide the amount from step three by the number of data points (i.e., months) minus one. I suggest that you go with the process like, for stock returns: Say the standard deviation is.
The Standard Deviation Of The Portfolio Determines The Deviation Of The Returns And The Correlation Coefficient Of The Proportion Of Securities That Are.
This helps in determining the risk of an investment vis a vis the expected return. 2) take the natural log of (p1/po) 3) calculate average of the. If a data set represents the entire population, the true standard deviation can be calculated as follows:
Calculate The Standard Deviation Of Each Security In The Portfolio.
The red calculations in the return graph above replicate this procedure for all 5 years under investigation. Here's a quick preview of the steps we're about to follow: Portfolio standard deviation is calculated based on.
For Each Data Point, Find The Square Of Its Distance To The Mean.
Depending on weekends and public. Where r i is the ith value of the rate of return on an. First we need to calculate the standard deviation of each security in the portfolio.
Interpretation Of Standard Deviation Of Portfolio.
The smaller an investment’s standard deviation, the less volatile it is. To find the mean, the added sum of all the given values is divided by the total. Expected return uses historical returns and calculates the mean of an anticipated return based on the weighting of assets in a portfolio.
Sum The Values From Step 2.
Of monthly ror) x sqrt (12) or (std. 1) download stock prices into an excel spreadsheet. To find the standard deviation of a probability distribution, we can use the following formula:
Popular Posts
How To Calculate Net Charge Of Amino Acid At Ph
- Get link
- X
- Other Apps
Comments
Post a Comment